ЧАСТЬ 2. Тест включения питания
Часть 1. Подготовка, список деталей, сборка
Часть 3. Настройка калибровочных конденсаторов. Окончательная сборка
Посмотреть видео про сборку, запуск и калибровку этого осциллографа

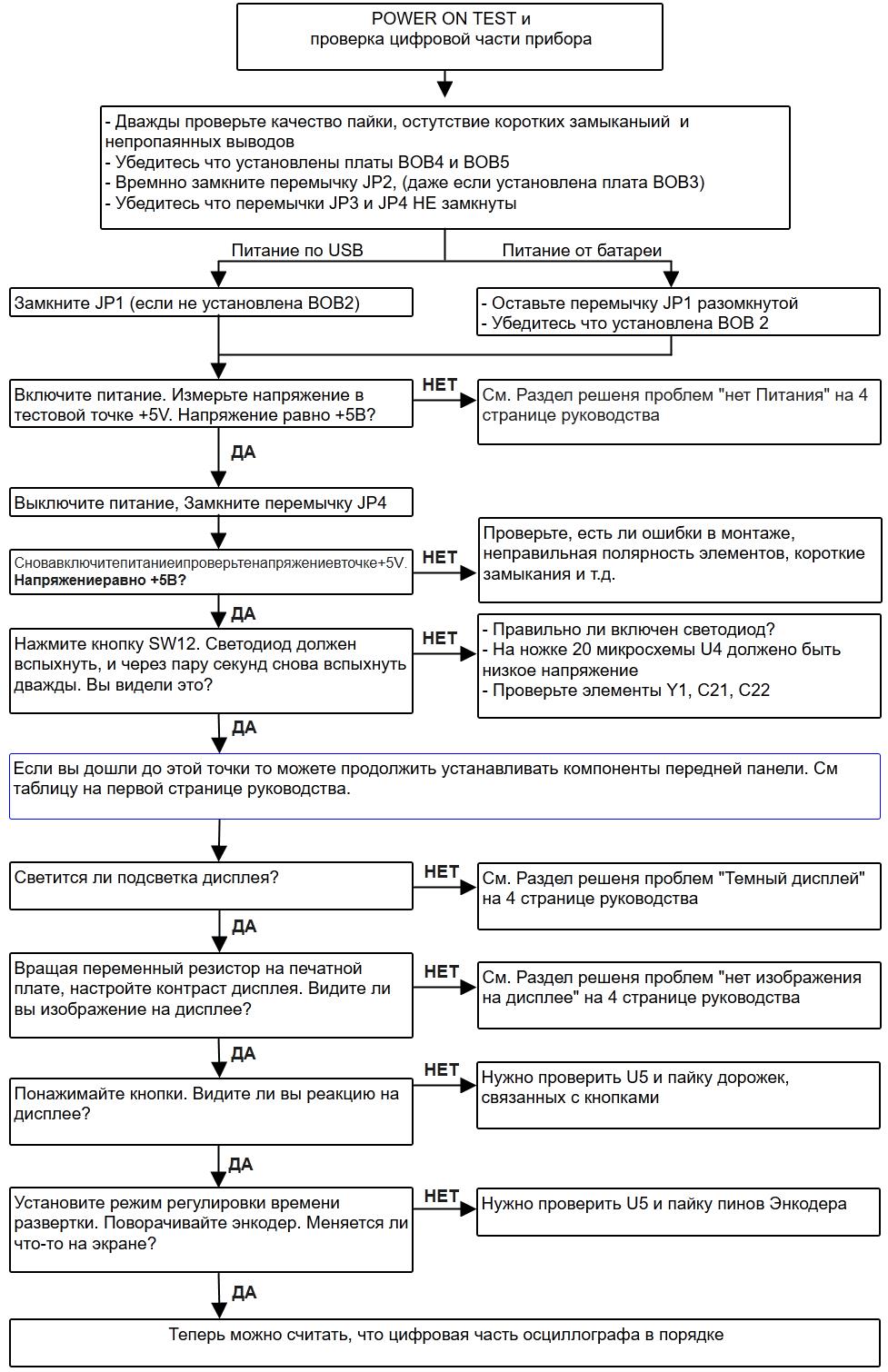
На диаграмме ниже показан алгоритм ваших действий при первом тестовом включении питания. Для того, чтобы скачать диаграмму кликните на ней. Изображение откроется в новом окне. В этом окне кликните на диаграмме правой кнопкой мыши и выберите «сохранить изображение как…»

Примечание: Перемычка JP7 включает пъезо-звонок (бипер). Если перемычка замкнута, то вы должны услышать звуковые сигналы при включении осциллографа.
После успешной проверки цифровой части осциллографа приступайте к тестированию аналоговой части по следующему алгоритму:


Контрольные точки и джамперы на печатной плате
Читать дальше:
Калибровка полосы пропускания входного аттенюатора >>
